Loading
HomeMathematics Help › One variable Statistics
Status: Completed
One variable Statistics
Date Posted: 22/03/2021
Category: Mathematics
Due Date: 22/03/2021
Instruction
2.7 Review - page 151 #1-3, 11-20 please answer in full detail all solutions not just answers answers are provided as a reference
Bidders
surrogatewriter 5 years ago
Rated 9.31 earned 74374.75 around 2805 assignments.
Hello friend, I have reviewed your work and I can help. Thanks
$55.00
  • {$ item.message_content $}
    {$ item.sender_username $} | {$ item.date_entered $}
 
 
Respectwriter 5 years ago
Rated 9.03 earned 26253.25 around 814 assignments.
Hello, am here for u. Kindly assign
$55.00
  • {$ item.message_content $}
    {$ item.sender_username $} | {$ item.date_entered $}
 
 
phoniextutor 5 years ago
Rated 8.98 earned 50856.21 around 1767 assignments.
Hello, I have read and understood the instructions. Please assign me this paper for HIGH QUALITY , PLAGIARISM FREE results delivered IN TIME and I guarantee A+ grade professional paper. Thank you
$90.00
  • Hello, I have read and understood the instructions. Please assign me this paper for HIGH QUALITY , PLAGIARISM FREE results delivered IN TIME and I guarantee A+ grade professional paper. Thank you
    phoniextutor | Mar 22, 2021, 15:31 PM
  • {$ item.message_content $}
    {$ item.sender_username $} | {$ item.date_entered $}
 
 
godwriter 5 years ago
Rated 9.49 earned 28362.25 around 771 assignments.
Hello friend, let me help you with this assignment. I assure you of high quality assignment. I'm ready to start working in it right now. Your assignment is in the safest hands. I'm a professional tutor who takes nothing less than good grade. I follow all the instructions of the student to ensure i provide high quality work.
$20.00
  • now assign
    User_5474 | Mar 22, 2021, 15:29 PM
  • Thank you, let me work on it. i will let you know when i'm through. do you have another assignment you have posted?
    User_5474 | Mar 22, 2021, 15:47 PM
  • I will post another one in a few minutes and also I have a quiz for tmrw at 1015 hours (EST) if you are around?
    User_34938 | Mar 22, 2021, 15:54 PM
  • hello,,,you have indicated 2.7 but it is not found in the document you uploaded
    User_5474 | Mar 22, 2021, 15:58 PM
  • is it supposed to be 2.1 or 2.7? friend please check
    User_5474 | Mar 22, 2021, 16:01 PM
  • I'm ready and willing for it friend. When posting you can just use my username "godwriter" for me to notice it easily
    User_5474 | Mar 22, 2021, 16:23 PM
  • Yes the whole download is called 2.7- just ignore that. I need questions 1-3 and 11-20 on this document please
    User_34938 | Mar 22, 2021, 16:46 PM
  • does that make sense?
    User_34938 | Mar 22, 2021, 22:08 PM
  • yes that makes sense friend
    User_5474 | Mar 23, 2021, 04:03 AM
  • Hello friend! I have completed and uploaded the assignment. Kindly confirm and release the payments. I will also appreciate a good feedback from you and a ten star rating. Looking forward to work with you in your other assignments. Thank you!
    User_5474 | Mar 23, 2021, 05:31 AM
  • Thank you so much! My quiz is today at 1015 (Eastern Standard Time) on this topic. Are you interested? I only have 1.5 hours to complete it, must finish by 1230 at very latest. Should I post it here?
    User_34938 | Mar 23, 2021, 11:46 AM
  • yes friend just post it i will do it and submit within that spacified time
    User_5474 | Mar 23, 2021, 11:51 AM
  • just post it and lt me know
    User_5474 | Mar 23, 2021, 11:52 AM
  • How many hours from now is the quiz friend. I'm ready and set for it
    User_5474 | Mar 23, 2021, 12:15 PM
  • Ok will do. teacher will post in 2 hours for me then I will send to you
    User_34938 | Mar 23, 2021, 12:24 PM
  • Ok I am posting here it here now....THANK YOU
    User_34938 | Mar 23, 2021, 14:34 PM
  • Please print largely so I can read and scan in order post as you work helps save me time too
    User_34938 | Mar 23, 2021, 14:35 PM
  • Very much ready friend
    User_5474 | Mar 23, 2021, 14:36 PM
  • are you there?
    User_34938 | Mar 23, 2021, 14:40 PM
  • hello??
    User_34938 | Mar 23, 2021, 15:08 PM
  • Yes friend, finalizing the last question
    User_5474 | Mar 23, 2021, 15:25 PM
  • Completed and uploaded friend, kindly confirm and release the payment and the bonus. I will also appreciate a ten star rating as well as a good feedback. Thank you!
    User_5474 | Mar 23, 2021, 15:36 PM
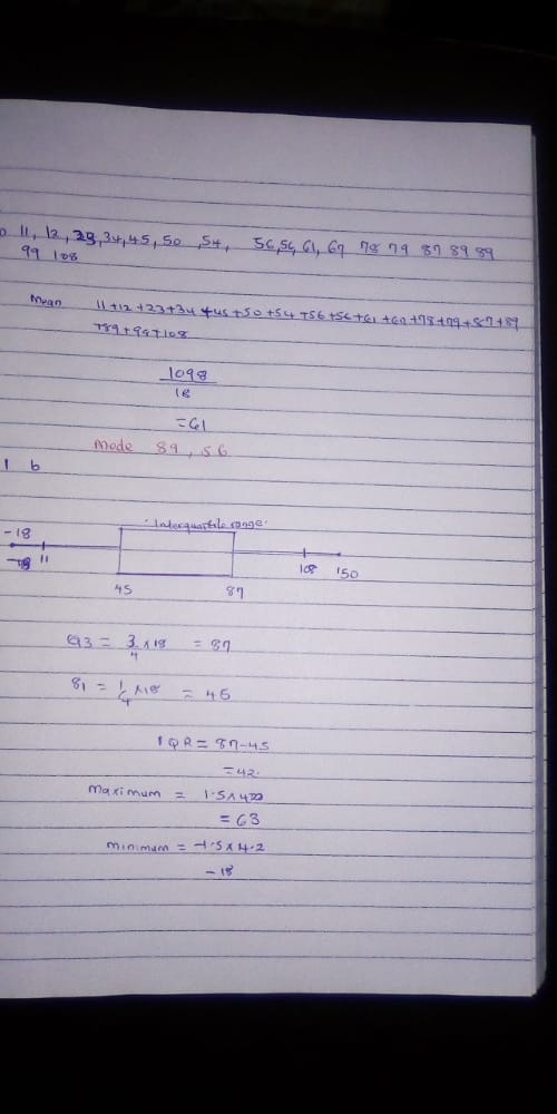
  • what is the mode for question 1 ?
    User_34938 | Mar 23, 2021, 15:39 PM
  • mode= 56,89
    User_5474 | Mar 23, 2021, 15:43 PM
  • I've uploaded it on the new file,,,sorry for the inconveniences
    User_5474 | Mar 23, 2021, 15:49 PM
  • Hello friend, I hope you confirmed the assignment and everything is alright
    User_5474 | Mar 23, 2021, 16:09 PM
  • in 1b I dont understand the minimum of -18....is that what is reads? Its blurry on my end
    User_34938 | Mar 23, 2021, 16:37 PM
  • Yes friend, 42-63= -18
    User_5474 | Mar 23, 2021, 16:52 PM
  • Sorry, 45-63= -18...Kincly confirm with the latest uploaded file
    User_5474 | Mar 23, 2021, 16:56 PM
  • ok thank you, makes sense sending payment now
    User_34938 | Mar 23, 2021, 17:03 PM
  • Yeah, but you didn't add the bonus for the quiz friend. Kindly add the bonus please
    User_5474 | Mar 23, 2021, 17:10 PM
  • Or you post another assignment you pay me there kindly
    User_5474 | Mar 23, 2021, 17:10 PM
  • Thank you! I highly appreciate friend. Nice time!
    User_5474 | Mar 23, 2021, 17:12 PM
  • I have received! Thank you!
    User_5474 | Mar 23, 2021, 17:12 PM
  • ok posting another one now, called 3.0 prerequistes
    User_34938 | Mar 23, 2021, 19:29 PM
  • okay friend. I have placed the bid. let me put it 15
    User_5474 | Mar 23, 2021, 19:35 PM
  • {$ item.message_content $}
    {$ item.sender_username $} | {$ item.date_entered $}
 
 
User_5522 5 years ago
Rated 9.54 earned 6143.60 around 167 assignments.
Hello, am willing to help you! currently, am not working on any other assignment so be assured of high quality and timely completion.
$40.00
  • {$ item.message_content $}
    {$ item.sender_username $} | {$ item.date_entered $}
 
 
bestwriter 5 years ago
Rated 9.51 earned 8492.90 around 325 assignments.
Hello client, please let me help you for an outstanding work. I will deliver a plagiarism free work on time, with correct grammar and with accurate answers arrived after strictly following instructions
$55.00
  • {$ item.message_content $}
    {$ item.sender_username $} | {$ item.date_entered $}
 
 
ExpertResearcher_d_649 5 years ago
Rated 1.0 earned 126.20 around 2 assignments.
Heloo
$40.00
  • {$ item.message_content $}
    {$ item.sender_username $} | {$ item.date_entered $}
 
 
kingz 5 years ago
Rated 9.4 earned 52183.12 around 1434 assignments.
Hello kindly assign this to me i can guarantee timely and an A grade work
$65.00
  • {$ item.message_content $}
    {$ item.sender_username $} | {$ item.date_entered $}
 
 
Kimwoods_d_924 5 years ago
Rated 8.9 earned 9357.10 around 278 assignments.
Hello
$55.00
  • Hello, kindly assign me this task. I will do it perfectly for you. And please let me know if you have any other task. I will still do it for you. We can surely work together. It will be my pleasure. Thank you
    Kimwoods_d_924 | Mar 22, 2021, 15:32 PM
  • {$ item.message_content $}
    {$ item.sender_username $} | {$ item.date_entered $}
 
 
drjim 5 years ago
Rated 9.55 earned 24203.41 around 648 assignments.
Hello! I can work on this task asap. I can also help you with your whole class at a discount!
$15.00
  • {$ item.message_content $}
    {$ item.sender_username $} | {$ item.date_entered $}
 
 
WritingPartner 5 years ago
Rated 9.31 earned 25031.69 around 811 assignments.
Hello dear friend, I'm online NOW and I'm happy to help you. I would like to express my interest in doing your assignment. I will go through your summary and instruction carefully and do your task. I promise to commit my skills and the great experience to guarantee you a top-notch quality paper, with zero grammatical errors, and a 100% free from PLAGIARISM. Besides my skill and experience, I respond promptly to my client and provide a quick turnaround. Kindly hire me, and I’ll make you proud. I’m looking forward to working with you. Thank you!
$15.00
  • {$ item.message_content $}
    {$ item.sender_username $} | {$ item.date_entered $}
 
 
exclusivewriter 5 years ago
Rated 9.41 earned 74860.53 around 2443 assignments.
Hello friend, I have reviewed your work and I can help. Thanks
$55.00
  • {$ item.message_content $}
    {$ item.sender_username $} | {$ item.date_entered $}
 
 
perfecto_d_780 5 years ago
Rated 8.93 earned 2165.44 around 40 assignments.
Hi Buddy, I am very perfect in statistics and I guarantee you an A. Kindly give me the login details or WhatsApp me at +254716617587.Cheers!!!
$300.00
  • {$ item.message_content $}
    {$ item.sender_username $} | {$ item.date_entered $}