Loading
HomeEngineering Help › Nuclear Engineering Assignment
Status: Completed
Nuclear Engineering Assignment
Date Posted: 16/04/2021
Category: Engineering
Due Date: 17/04/2021
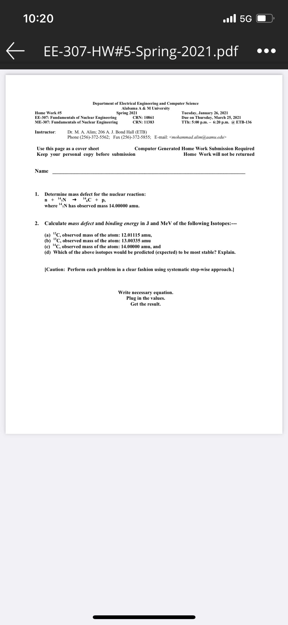
Instruction
Must be typed out.
Bidders
bestwriter 5 years ago
Rated 9.51 earned 8492.90 around 325 assignments.
Hello client, please let me help you for an outstanding work. I will deliver a plagiarism free work on time, with correct grammar and with accurate answers arrived after strictly following instructions
$40.00
  • Hello friend, How are you today? I wish to help with this assignment. Kindly assign me. Thanks
    bestwriter | Apr 16, 2021, 14:54 PM
  • {$ item.message_content $}
    {$ item.sender_username $} | {$ item.date_entered $}
 
 
skeleritchy 5 years ago
Rated 10.0 earned 277.62 around 11 assignments.
My goal is to meet every instruction and ensure that all your expectations are met with no exceptions. I am a committed writer, ready to deliver your papers on time and free from plagiarism. I take pride in what I do, which in a nutshell, is helping you successfully complete your assignment with the utmost consideration given to high quality and timeliness. I am looking forward to working with you
$25.00
  • {$ item.message_content $}
    {$ item.sender_username $} | {$ item.date_entered $}
 
 
ElemenM 5 years ago
Rated 9.55 earned 44584.28 around 1434 assignments.
Hello dear, I can handle the assignment with prowess. Kindly accept my bid!!!
$25.00
  • Hi friend, Your Homework is ready. I humbly request you to add a bonus, release the payment and promote my profile with strong feedback. Thanks!!
    ElemenM | Apr 17, 2021, 11:31 AM
  • You didn't complete D
    User_36526 | Apr 17, 2021, 14:16 PM
  • Hi, lem double check ASAP
    ElemenM | Apr 17, 2021, 14:22 PM
  • Hi friend, I have fixed the homework. Kindly review the homework and release funds. Thank you
    ElemenM | Apr 17, 2021, 15:00 PM
  • Hello friend, I will be glad to receive the payment. Thank you!!
    ElemenM | Apr 25, 2021, 09:32 AM
  • {$ item.message_content $}
    {$ item.sender_username $} | {$ item.date_entered $}
 
 
highquality 5 years ago
Rated 8.77 earned 11734.44 around 327 assignments.
Dear client, I have read and understood the task requirements and I can assure you that I will deliver a WELL-RESEARCHED and a HIGH-QUALITY paper BEFORE the deadline. In addition, I promise to deliver a 100% plagiarism-free paper that meets all your expectations. Kindly assent to my bid
$50.00
  • {$ item.message_content $}
    {$ item.sender_username $} | {$ item.date_entered $}
 
 
waiganjo70 5 years ago
Rated 9.1 earned 16094.85 around 418 assignments.
Kindly make it $35 because I will have to type this. Thanks
$35.00
  • Hello there? Kindly assign me and upload the rest
    waiganjo70 | Apr 16, 2021, 14:59 PM
  • I uploaded it
    User_36526 | Apr 16, 2021, 15:01 PM
  • Okay I have already placed my bid now you can assign me
    waiganjo70 | Apr 16, 2021, 15:02 PM
  • {$ item.message_content $}
    {$ item.sender_username $} | {$ item.date_entered $}
 
 
Kimwoods_d_924 5 years ago
Rated 8.9 earned 9357.10 around 278 assignments.
Hello, kindly assign me this task. I will do it perfectly for you. And please let me know if you have any other task. I will still do it for you. We can surely work together. It will be my pleasure. Thank you
$35.00
  • {$ item.message_content $}
    {$ item.sender_username $} | {$ item.date_entered $}